Hai sobat dimanapun berada!
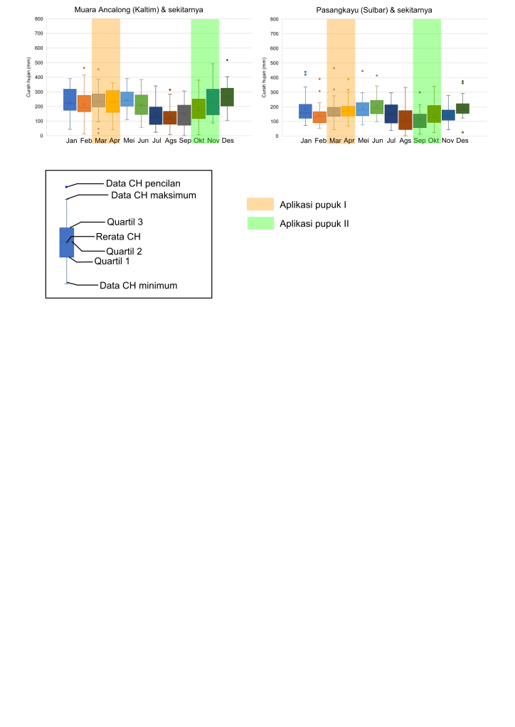
Kali ini kami akan membahas mengenai rekomendasi waktu pemupukan yang tepat untuk tanaman kelapa sawit. Sebagaimana telah kita ketahui bersama bahwa waktu pemupukan yang tidak tepat akan menyebabkan pemupukan tidak efektif dan efisien. Dalam praktik di lapangan, waktu pemupukan umumnya didasarkan pada kondisi curah hujan. Pemupukan tidak boleh dilakukan pada saat curah hujan terlalu tinggi (pupuk akan hilang tercuci) ataupun pada saat curah hujan terlalu rendah (pupuk akan menguap dan tidak tersedia bagi tanaman karena tidak ada bahan untuk melarutkan unsur hara dalam pupuk). Waktu pemupukan yang optimal adalah pada saat curah hujan 100-200 mm/bulan. Pemupukan sebaiknya ditunda jika curah hujan belum mencapai 60 mm/bulan atau melebihi 300 mm/bulan.
Namun demikian, realitasnya di lapangan tidak semua pekebun kelapa sawit memiliki data curah hujan yang lengkap. Hal ini menyebabkan pekebun tidak memiliki perkiraan kasar / “ancer-ancer” yang tepat dalam menentukan waktu pemupukan yang tepat. Beranjak dari hal tersebut, maka tim peneliti agroklimat PPKS berupaya untuk memberikan rekomendasi waktu pemupukan di 22 sentra perkebunan kelapa sawit di Indonesia (lihat gambar di bawah).

Rekomendasi jadwal pemupukan di 22 zona yang mewakili sentra-sentra perkebunan kelapa sawit Indonesia disajikan pada gambar di bawah ini. Sebagai informasi, data yang digunakan untuk menentukan jadwal pemupukan adalah data curah hujan masing-masing zona dalam kurun waktu 1991-2019. Informasi jadwal pemupukan disusun dengan asumsi bahwa dalam 1 tahun dilakukan 2 kali pemupukan. Untuk jadwal 3 kali pemupukan silakan lihat langsung dalam makalah kami di laman: https://warta.iopri.org/index.php/Warta/article/view/48/31












